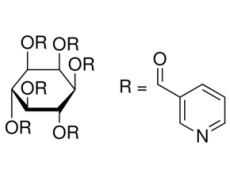
中文名稱 : 煙酸肌醇酯
其他中文名稱 : 肌醇煙酸酯;肌醇六煙酸酯;煙肌酯;煙酸肌醇;煙鹼酸肌醇酯
英文名稱 : Inositol niacinate
其他英文名稱 : myo-Inositol hexanicotinate;myo-Inositol hexa-3-pyridinecarboxylate
C A S : 6556-11-2
C42H30N6O12=810.72
級(jí) 別 : BR
含 量 : ≥98.0%
熔 點(diǎn) : 254~256℃
性 狀 : 白色或類白色結(jié)晶或粉末
用 途 : 生化研究。
保 存 : RT
購(gòu)物車
幫助
021-54845833/15800441009
