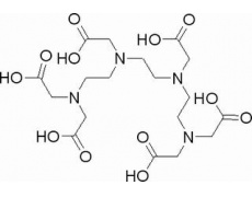
中文名稱 : 三亞乙基四胺六乙酸-3,6,9,12-四羧甲基-3,6,9,12-四氮雜十四烷二羧酸
其他中文名稱 : 三乙烯四胺六乙酸;三乙四胺六乙酸;三乙四胺六酸
英文名稱 : TTHA
其他英文名稱 : Triethylenetetramine-N,N,N',N'',N''',N'''-hexaacetic acid
C A S : 869-52-3
C18H30N4O12=494.45
級 別 : High purity grade
含 量 : ≥98.0%
熔 點 : 232~234℃
性 狀 : 白色結(jié)晶粉末。
用 途 : 生化研究。
保 存 : RT
購物車
幫助
021-54845833/15800441009
