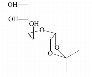
中文名稱(chēng) : 1,2-O-異亞丙基-D-呋喃葡萄糖
其他中文名稱(chēng) : 單丙酮葡萄糖;1,2-氧-異丙叉-α-D-呋喃葡萄糖;1,2鄰異亞丙基-α-D-呋喃葡萄糖;1,2-O-異丙叉-α-D-葡萄糖;單丙酮-D-葡萄糖;1,2-氧-異丙叉基-α-D-呋喃葡萄糖;1,2-氧-異亞丙基-α-D-呋喃葡萄糖
英文名稱(chēng) : Monoacetone glucose
其他英文名稱(chēng) : 1,2-O-Isopropylidene-α-D-glucofuranose
C A S : 18549-40-1
C9H16O6=220.22
級(jí) 別 : BR
含 量 : ≥98%
熔 點(diǎn) : 157~162℃
比旋光度 : -11~-13o(C=2,H2O)
性 狀 : 白色結(jié)晶或粉末
用 途 : 生化研究。
保 存 : RT
購(gòu)物車(chē)
幫助
021-54845833/15800441009
