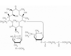
中文名稱 : 紅霉素琥珀酸乙酯
其他中文名稱 : 琥乙紅霉素
英文名稱 : Erythromycin ethyl succinate
C A S : 1264-62-6
C43H75NO16=862.05
級 別 : BR
效 價 : ≥780μg/mg
水 分 : ≤3.0 %
性 狀 : 白色或類白色的結(jié)晶或結(jié)晶性粉末,溶于EtOH
用 途 : 生化研究。
保 存 : RT
購物車
幫助
021-54845833/15800441009
